
比表面积测试(BET)



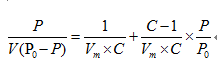
BET公式的使用范围
什么叫吸附,吸附有哪些类型,有何区别,各有何用途?

多孔材料的孔分为哪几种,尺寸范围如何?
微孔(micropore) <2nm
中孔(mesopore) 2~50nm
大孔(macropore) 50~7500nm
巨孔(megapore) > 7500nm(大气压下水银可进入)
吸附等温线的类型







各类孔相应的测试方法
微孔:低温静态容量法测定。液氮温度下,用氪气作为吸附气体。(在液氮温度下,氪气的饱和蒸气压为3—5mmHg,P/P0的P就可以很小)。
中孔:低温静态容量法测定。液氮温度下,以氮气作为吸附气体。
大孔:压泵法
铄思百检测●BET可以测的项目
BET物理吸附仪目前主要应用于多孔材料的比表面积与孔结构的分析,其利用固体材料的吸附特性,借助气体分子作为“量具”来度量材料的表面积和孔结构,可测试材料的比表面积、总孔容、孔径分布和吸脱附曲线等数据;
-END-
以上就是铄思百检测平台对"BET可以表征什么"的相关介绍,如有测试需求,可以和铄思百检测联系,我们会给与您最准确的数据和最好的服务体验,希望可以在大家的科研路上有所帮助。
温馨提示
1、不定期推出各种优惠活动,详情咨询客服。
2、测试前联系在线客服确认测试条件、检测费用、检测周期等。
检测咨询热线:15071040697 黄工QQ:82187958
公司网站:www.sousepad.com 武汉铄思百检测技术有限公司
做BET测试一个样品多少钱?扫描下方二维码获取详细报价
