凝胶色谱法(Gel Permeation Chromatography,简称:GPC)是一种新型的液体色谱,又名体积排除色谱(Size Exclusion Chromatography,SEC)、凝胶过滤色谱(GelFiltration Chromatography,GFC),是液相色谱的一个分支,是高聚物表征的重要方法之一。
1964年由J.C.Moore首先研究成功。在总结前人经验的基础上,结合大网状结构离子交换树脂制备的经验,将高交联度聚苯乙烯凝胶用作柱填料,同时配以连续式高灵敏度的示差折光仪,制成了快速且自动化的高聚物分子量及分子量分布的测定仪,从而创立了液相色谱中的凝胶渗透色谱技术。
操作简便快捷、进样量小、数据可靠且重现性好、自动化程度高等。
主要应用于聚合物分子量及其分布、聚合物的支化度、共聚物及共混物的组成、聚合物分级及其结构分析等。适于分析水溶液中的多肽、蛋白质、生物酶等生物分子。
当被分析的试样随着淋洗溶剂引入柱子后,溶质分子即向填料内部孔洞扩散。较小的分子除了能进入大的孔外,还能进入较小的孔;较大分子则只能进入较大的孔;而比最大的孔径还要大的分子就只能留在填料颗粒之间的空隙中。因此,随着溶剂的淋洗,大小不同的分子就得到分离,较大的分子先被淋洗出来,较小的分子较晚被淋洗出来。
图1 GPC的分离原理



GPC仪器主要由输液系统(柱塞泵)、进样器、色谱柱、检测系统(示差折光检测器、多波长UV、FTIR等)及数据采集与处理系统。
图2 GPC仪器
载体和色谱柱
载体是GPC产生分离作用的关键
GPC仪器对载体的要求:
1. 良好的化学稳定性和热稳定性;
2. 有一定的机械强度;
3. 不易变形;
4. 流动阻力小;
5. 对试样没有吸附作用;
6. 分离范围越大越好(取决于孔径分布)等;
7. 载体的粒度愈小,愈均匀,堆积的愈紧密,色谱柱分离效率愈高。
GPC载体的种类:
1. 交联聚苯乙烯凝胶
2. 多孔性玻璃
3. 聚乙酸乙烯酯凝胶及聚丙烯酰胺凝胶
4. 木质素凝胶等
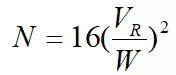
评价色谱柱性能的两个重要参数
柱效率N:可用“理论塔板数”N进行描述。淋洗体积VR,峰底宽W,然后按照下式进行计算N:
对于相同长度的色谱柱,N值越大,意味着柱效率越高。
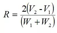
分离度R:V1,V2分别为对应于样品1和样品2的两个峰值的淋洗体积;W1,W2分别为峰1和峰2的峰底宽。
显然,若两个样品达到完全分离,R应等于或大于1,如果R小于1,则分离是不完全的。
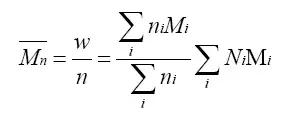
聚合物分子量:统计平均分子量
假定在某一高分子试样中含有若干中分子量不等的分子,该试样的总质量为w,总摩尔数为n,种类数用i表示,第i种分子的分子量为Mi,摩尔为ni,重量为wi,在整个试样中的重量分数为Wi,摩尔分数为Ni,则这些量之间存在下列关系:
数均分子量:以数量为统计权重
重均分子量:以重量为统计权重
Z均分子量:以Z值为统计权重
粘均分子量:用稀溶液粘度法测得的平均分子量
分子量比较
GPC谱图
检测器信号H:比例于淋出液的浓度;
保留体积(淋出体积):分子尺寸的大小,Ve换算成分子量M,即为分子量分布曲线。
分子量-淋出体积标定曲线
根据GPC分离机理,保留体积(或淋出体积)Ve与分子量之间有线性关系
logM=A-BVe
式中:A和B为常数,其值与溶质、溶剂、温度、载体及仪器结构有关,可由分子量-淋出体积曲线的直线段的截距和斜率求出。
首先测定一组分子量不同的单分散或窄分布样品(已用其它方法精确确定了分子量)的淋出体积和分子量的GPC谱图(图A),然后以logM对Ve作图得到反S形工作曲线(图B)。工作曲线中间的直线部分就是标定曲线。
分子量-淋出体积普适标定曲线
实际上,对大多数聚合物很难获得窄分布标准样品,由容易获得的阴离子聚合的聚苯乙烯(Mw/Mn<1.1)测得的校准曲线,也不能直接用于其他高分子,因为不同高分子尽管分子量相同,但体积却不一样。因而必须寻找一个分子结构参数代替分子量,希望用这一参数求出的标定关系对所有高分子普遍适用,称为普适标定。
根据爱因斯坦(Einstein)公式
若已知一种聚合物的M1,只须简单计算,就能得到同一保留体积的另一种聚合物的M2。

式中K、α――对每一特定高分子-溶剂体系是常数。将此两式代入上式,并整理后得到
——————END——————
铄思百检测动态
武汉铄思百检测,是华中地区专业的第三方检测平台,提供材料检测服务,常规测试3-5个工作日出检测结果,铄思百检测专业的实验室仪器,专业科研团队硕博测试工程师90%,铄思百检测,坚持“恪守信誉、质量第一、客户第一”
电镜检测、电镜制样、光谱检测、热谱检测、核磁顺磁波普测试、质谱检测、色谱检测、表介面物性分析、其他测试更多测试请咨询在线客服
测试流程
1、客户提出测试要求(在线预约)
2、细节沟通(联系在线QQ)
3、下载填写测试委托单
4、测试委托单和样品邮寄
5、联系客服付款
6、安心等待
7、接受数据发票
8、后期服务
以上是对于测试的相关介绍,如有其它检测需求可以咨询实验室工程师,为您一对一服务。
温习提示
1、不定期推出各种优惠活动,详情咨询客服。
2、测试前联系在线客服确认测试条件、检测费用、检测周期等。
检测咨询热线:15071040697 黄工QQ:82187958
公司网站:www.sousepad.com
武汉铄思百检测技术有限公司